Copyright

© 2014-2015 Ilya Yaroshenko

License

MIT

Structs

GIGChiPsi

GIGEtaOmega

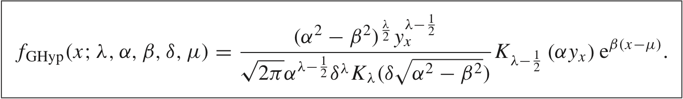
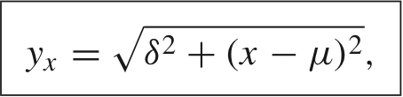
GHypAlphaDelta

GHypChiPsi

GHypEtaOmega

beta, eta, omega generalized hyperbolic distribution parameters